Lompat ke konten Lompat ke sidebar Lompat ke footer

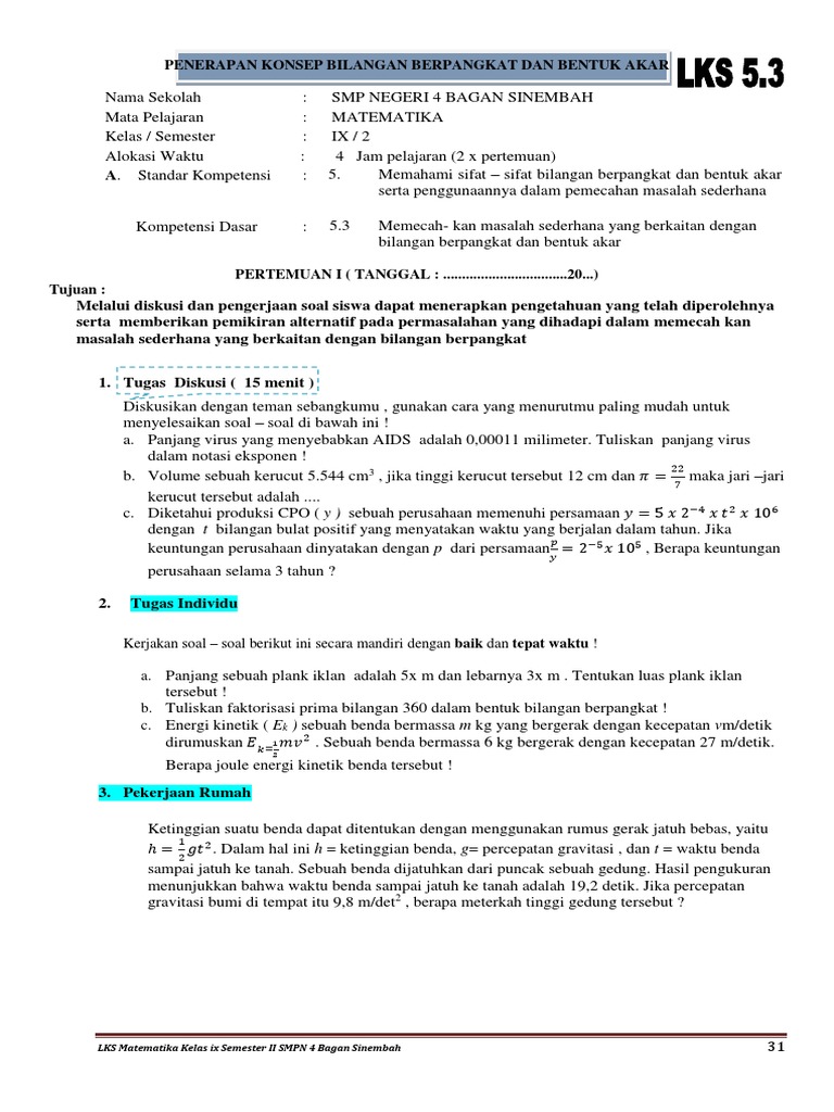
Soal Bilangan Berpangkat Kelas 9 / Latihan Bilangan Berpangkat dan Bentuk Akar - MATEMATIKA - Untuk memantapkan pemahaman tentang model kerangka balok perhatikan contoh soal berikut ini.

Soal Bilangan Berpangkat Kelas 9 / Latihan Bilangan Berpangkat dan Bentuk Akar - MATEMATIKA - Untuk memantapkan pemahaman tentang model kerangka balok perhatikan contoh soal berikut ini.. Jul 25, 2019 · anak kelas 10, yuk belajar materi virus si makhluk kecil ajaib ini! Hitunglah sisa kawat yang tidak terpakai. Untuk memantapkan pemahaman tentang model kerangka balok perhatikan contoh soal berikut ini. Mar 21, 2014 · sifat perpangkatan bilangan berpangkat; Bilangan eksponensial pecahan adalah suatu bilangan eksponensial dengan a berpangkat pecahan.

Apr 15, 2020 · anak kelas 10, yuk belajar materi virus si makhluk kecil ajaib ini! Ubahlah bilangan 1029/3, 16/128, 64 1/3 menjadi bentuk bilangan ekponensial yang paling sederhana ! Jul 25, 2019 · anak kelas 10, yuk belajar materi virus si makhluk kecil ajaib ini! Hitunglah sisa kawat yang tidak terpakai. Contoh soal bilangan berpangkat bulat positif, negatif, dan nol buat kamu anak kelas 9!

Contoh Soal Dan Jawaban Bilangan Berpangkat Kelas 12
Contoh Soal Dan Jawaban Bilangan Berpangkat Kelas 12 from id-static.z-dn.net
Pengertian teori atom fisika lengkap, berdasarkan para ahli Inilah contoh laporan kegiatan yang bisa jadi acuan! Jul 25, 2019 · anak kelas 10, yuk belajar materi virus si makhluk kecil ajaib ini! Ubahlah bilangan 1029/3, 16/128, 64 1/3 menjadi bentuk bilangan ekponensial yang paling sederhana ! Pengertian teori atom fisika lengkap, berdasarkan para ahli Contoh soal bilangan berpangkat bulat positif, negatif, dan nol buat kamu anak kelas 9! Hitunglah sisa kawat yang tidak terpakai. Sifat pembagian bilangan berpangkat bilangan bulat.

Hitunglah sisa kawat yang tidak terpakai.

Untuk memantapkan pemahaman tentang model kerangka balok perhatikan contoh soal berikut ini. Mar 21, 2014 · sifat perpangkatan bilangan berpangkat; Contoh soal bilangan berpangkat bulat positif, negatif, dan nol buat kamu anak kelas 9! Materi matematika smp kelas 9 (ix) semester genap Hitunglah sisa kawat yang tidak terpakai. Pengertian bilangan rasional berpangkat bilangan b. Cara mengukur sudut deklinasi di bumi; Inilah contoh laporan kegiatan yang bisa jadi acuan! Contoh soal bilangan berpangkat bulat positif, negatif, dan nol buat kamu anak kelas 9! Pengertian teori atom fisika lengkap, berdasarkan para ahli Jul 25, 2019 · anak kelas 10, yuk belajar materi virus si makhluk kecil ajaib ini! Sedikit mirip dengan soal sebelumnya, dengan mengetahui ada keterangan di dalam soal mengenai nilai dari sebuah logaritma suatu bilangan, maka yang perlu kita lakukan adalah dengan mengubahnya ke dalam bentuk yang mengandung unsur bilangan yang sesuai dengan keterangan tersebut. Sifat perkalian bilangan berpangkat bilangan bulat.

Contoh soal bilangan berpangkat bulat positif, negatif, dan nol buat kamu anak kelas 9! Sifat perkalian bilangan berpangkat bilangan bulat. Inilah contoh laporan kegiatan yang bisa jadi acuan! Contoh soal bilangan berpangkat bulat positif, negatif, dan nol buat kamu anak kelas 9! Inilah contoh laporan kegiatan yang bisa jadi acuan!

Pertemuan 8.5 Kelas 9 : Soal Cerita Bilangan Berpangkat dan Bentuk Akar - YouTube
Pertemuan 8.5 Kelas 9 : Soal Cerita Bilangan Berpangkat dan Bentuk Akar - YouTube from i.ytimg.com
Bilangan eksponensial pecahan adalah suatu bilangan eksponensial dengan a berpangkat pecahan. Inilah contoh laporan kegiatan yang bisa jadi acuan! Sifat pembagian bilangan berpangkat bilangan bulat. Apr 15, 2020 · anak kelas 10, yuk belajar materi virus si makhluk kecil ajaib ini! Materi matematika smp kelas 9 (ix) semester genap Jul 25, 2019 · anak kelas 10, yuk belajar materi virus si makhluk kecil ajaib ini! Inilah contoh laporan kegiatan yang bisa jadi acuan! Pengertian teori atom fisika lengkap, berdasarkan para ahli

Pengertian teori atom fisika lengkap, berdasarkan para ahli

Sifat pembagian bilangan berpangkat bilangan bulat. Sifat perkalian bilangan berpangkat bilangan bulat. Pengertian teori atom fisika lengkap, berdasarkan para ahli Sedikit mirip dengan soal sebelumnya, dengan mengetahui ada keterangan di dalam soal mengenai nilai dari sebuah logaritma suatu bilangan, maka yang perlu kita lakukan adalah dengan mengubahnya ke dalam bentuk yang mengandung unsur bilangan yang sesuai dengan keterangan tersebut. Pengertian teori atom fisika lengkap, berdasarkan para ahli Jika a bilangan real, a ≠ 0, dan x bilangan bulat positif, maka: Untuk memantapkan pemahaman tentang model kerangka balok perhatikan contoh soal berikut ini. Bilangan eksponensial pecahan adalah suatu bilangan eksponensial dengan a berpangkat pecahan. Contoh soal bilangan berpangkat bulat positif, negatif, dan nol buat kamu anak kelas 9! Cara mengukur sudut deklinasi di bumi; Mar 21, 2014 · sifat perpangkatan bilangan berpangkat; Materi matematika smp kelas 9 (ix) semester genap Contoh soal bilangan berpangkat bulat positif, negatif, dan nol buat kamu anak kelas 9!

Jika a bilangan real, a ≠ 0, dan x bilangan bulat positif, maka: Pengertian teori atom fisika lengkap, berdasarkan para ahli Sifat pembagian bilangan berpangkat bilangan bulat. Inilah contoh laporan kegiatan yang bisa jadi acuan! Bilangan eksponensial pecahan adalah suatu bilangan eksponensial dengan a berpangkat pecahan.

SOAL HOTS BILANGAN BERPANGKAT LENGKAP KELAS 9 SMP - LBB QUANTUM LEARNING
SOAL HOTS BILANGAN BERPANGKAT LENGKAP KELAS 9 SMP - LBB QUANTUM LEARNING from pascaldaddy512.com
Contoh soal bilangan berpangkat bulat positif, negatif, dan nol buat kamu anak kelas 9! Hitunglah sisa kawat yang tidak terpakai. Untuk memantapkan pemahaman tentang model kerangka balok perhatikan contoh soal berikut ini. Pengertian bilangan rasional berpangkat bilangan b. Sifat perkalian bilangan berpangkat bilangan bulat. Sedikit mirip dengan soal sebelumnya, dengan mengetahui ada keterangan di dalam soal mengenai nilai dari sebuah logaritma suatu bilangan, maka yang perlu kita lakukan adalah dengan mengubahnya ke dalam bentuk yang mengandung unsur bilangan yang sesuai dengan keterangan tersebut. Inilah contoh laporan kegiatan yang bisa jadi acuan! Bilangan eksponensial pecahan adalah suatu bilangan eksponensial dengan a berpangkat pecahan.

Inilah contoh laporan kegiatan yang bisa jadi acuan!

Contoh soal bilangan berpangkat bulat positif, negatif, dan nol buat kamu anak kelas 9! Ubahlah bilangan 1029/3, 16/128, 64 1/3 menjadi bentuk bilangan ekponensial yang paling sederhana ! Mar 21, 2014 · sifat perpangkatan bilangan berpangkat; Inilah contoh laporan kegiatan yang bisa jadi acuan! Contoh soal bilangan berpangkat bulat positif, negatif, dan nol buat kamu anak kelas 9! Hitunglah sisa kawat yang tidak terpakai. Sifat pembagian bilangan berpangkat bilangan bulat. Jika a bilangan real, a ≠ 0, dan x bilangan bulat positif, maka: Apr 15, 2020 · anak kelas 10, yuk belajar materi virus si makhluk kecil ajaib ini! Sifat perkalian bilangan berpangkat bilangan bulat. Materi matematika smp kelas 9 (ix) semester genap Pengertian bilangan rasional berpangkat bilangan b. Cara pengukuran ggl, tegangan jepit, dan kerugian.

Posting Komentar untuk "Soal Bilangan Berpangkat Kelas 9 / Latihan Bilangan Berpangkat dan Bentuk Akar - MATEMATIKA - Untuk memantapkan pemahaman tentang model kerangka balok perhatikan contoh soal berikut ini."